河南九阳网络科技有限公司
首页
企业简介
产品大全
联系我们
企业信息
访客留言
产品大全
Product
技术赋能美好生活 2018国美智能家庭整体解决方案在京发布
半导体产业的新纪元 超越摩尔定律与石墨烯芯片的崛起
萌瓜科技产品全景 聚焦计算机软硬件技术开发的创新力量
快讯 关联公司注册资本大幅提升至4.3亿元,彰显技术开发领域扩张雄心
构建智慧工地新生态 融合物联网与智能化技术,重塑安全生产管控体系
株洲市奔腾电脑软件技术开发公司 引领计算机软硬件技术创新的先锋
从“随心飞”到“无目的地航班” 航空产品开发与营销中的计算机软硬件技术变革
TCL实业AWE展多项技术突破,以智慧科技引领行业前行
中江三企入选2020年四川技术创新百强 硬核科技驱动计算机软硬件发展
聚焦可持续发展,柯尼卡美能达再登“金蜜蜂企业社会责任中国榜” 以技术开发驱动绿色未来
拼多多关联公司注册“菜小买”商标,瞄准计算机软硬件技术开发新赛道
一夜飙涨四倍,房多多股价盘中暴涨超1200%,十余次触发熔断的背后 技术与资本的博弈
射洪县来者视讯有限责任公司 专业信息工程设计与计算机软硬件技术开发服务商
58同城跨界布局教育科技 新设两家公司剑指产教融合与软硬件开发
BAT芯片角逐再升级 腾讯入局,中国科技巨头的软硬件融合之路
洞察未来 社会趋势下的职业机遇——计算机软硬件技术开发的独家解读
数字化时代的核心驱动力 计算机软硬件技术开发与综合服务
最美证件照APP被下架 技术开发中的用户权益底线不容触碰
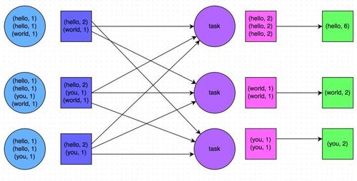
Spark基础性能调优 开发与资源优化策略
科技产业动态 从微信赞赏升级到美团IPO,看技术开发如何赋能商业变革
如若转载,请注明出处:http://www.9youngyun.com/product/list-2.html
第一页
上一页
1
2
3
4
5
下一页